Este resumo aborda problemas de trigonometria e geometria para alunos... Mostrar mais
Cadastre-se para ver o conteúdoÉ grátis!
Acesso a todos os documentos
Melhore suas notas
Junte-se a milhões de estudantes
Knowunity AI
Disciplinas
Triangle Congruence and Similarity Theorems
Triangle Properties and Classification
Linear Equations and Graphs
Geometric Angle Relationships
Trigonometric Functions and Identities
Equation Solving Techniques
Circle Geometry Fundamentals
Division Operations and Methods
Basic Differentiation Rules
Exponent and Logarithm Properties
Mostrar todos os tópicos
Human Organ Systems
Reproductive Cell Cycles
Biological Sciences Subdisciplines
Cellular Energy Metabolism
Autotrophic Energy Processes
Inheritance Patterns and Principles
Biomolecular Structure and Organization
Cell Cycle and Division Mechanics
Cellular Organization and Development
Biological Structural Organization
Mostrar todos os tópicos
Chemical Sciences and Applications
Atomic Structure and Composition
Molecular Electron Structure Representation
Atomic Electron Behavior
Matter Properties and Water
Mole Concept and Calculations
Gas Laws and Behavior
Periodic Table Organization
Chemical Thermodynamics Fundamentals
Chemical Bond Types and Properties
Mostrar todos os tópicos
European Renaissance and Enlightenment
European Cultural Movements 800-1920
American Revolution Era 1763-1797
American Civil War 1861-1865
Global Imperial Systems
Mongol and Chinese Dynasties
U.S. Presidents and World Leaders
Historical Sources and Documentation
World Wars Era and Impact
World Religious Systems
Mostrar todos os tópicos
Classic and Contemporary Novels
Literary Character Analysis
Rhetorical Theory and Practice
Classic Literary Narratives
Reading Analysis and Interpretation
Narrative Structure and Techniques
English Language Components
Influential English-Language Authors
Basic Sentence Structure
Narrative Voice and Perspective
Mostrar todos os tópicos
963
•
Atualizado Mar 24, 2026
•
Rita Cruz
@ritacruz
Este resumo aborda problemas de trigonometria e geometria para alunos... Mostrar mais





![1.
PREPARAR TESTE 1 11° ΑΝΟ
Na figura estão representados, num referencial o.n. Oxy,
uma circunferência e um trapézio [ABCD]. Sabe-se que:
-](/_next/image?url=https%3A%2F%2Fcontent-eu-central-1.knowunity.com%2FCONTENT%2F01965d7b-61f5-7790-a751-5cd2ac1f76f3_image_page_1.webp&w=2048&q=75)
No primeiro exercício, temos um trapézio [ABCD] inscrito numa circunferência de raio 1. Usando as coordenadas dadas e o ângulo de radianos, conseguimos calcular a área através da fórmula do trapézio, obtendo .
No segundo problema, precisamos encontrar o intervalo onde a expressão é sempre negativa. Simplificando a expressão para , e analisando os sinais nos diferentes quadrantes, concluímos que no intervalo a expressão é sempre negativa.
Dica importante: Quando trabalhares com expressões trigonométricas, simplifica-as primeiro usando as relações fundamentais. Isso torna muito mais fácil determinar o sinal da expressão!
O terceiro exercício envolve encontrar coordenadas num círculo trigonométrico e calcular a área de um trapézio usando funções trigonométricas. Partindo de , determinamos que e, depois de cálculos, concluímos que as coordenadas do ponto F são .
![1.
PREPARAR TESTE 1 11° ΑΝΟ
Na figura estão representados, num referencial o.n. Oxy,
uma circunferência e um trapézio [ABCD]. Sabe-se que:
-](/_next/image?url=https%3A%2F%2Fcontent-eu-central-1.knowunity.com%2FCONTENT%2F01965d7b-61f5-7790-a751-5cd2ac1f76f3_image_page_2.webp&w=2048&q=75)
No quarto problema, temos um dodecaedro regular com faces pentagonais e precisamos determinar ângulos e o perímetro. Como cada face é um pentágono regular, os ângulos do triângulo [ABE] são $36°36°108°$, e o perímetro de cada face é aproximadamente 4,9 metros.
O quinto exercício envolve calcular o valor exato de . Usando relações de ângulos associados, simplificamos para .
No sexto problema, dado que e , precisamos calcular . Determinamos que está no segundo quadrante, então e . Substituindo na expressão, obtemos .
Nota: Lembra-te que para ângulos do segundo quadrante, o seno é positivo e o cosseno é negativo!
No último problema, trabalhamos com um pentágono na circunferência trigonométrica, demonstrando que a área é $3\sin\alpha\cos\alpha\sin=\frac{1}{3}$.
![1.
PREPARAR TESTE 1 11° ΑΝΟ
Na figura estão representados, num referencial o.n. Oxy,
uma circunferência e um trapézio [ABCD]. Sabe-se que:
-](/_next/image?url=https%3A%2F%2Fcontent-eu-central-1.knowunity.com%2FCONTENT%2F01965d7b-61f5-7790-a751-5cd2ac1f76f3_image_page_3.webp&w=2048&q=75)
A solução do primeiro exercício mostra como calcular a área do trapézio usando a fórmula . Substituindo os valores , e , obtemos .
Para o segundo exercício, analisamos a expressão que simplifica para . Esta expressão é negativa quando e têm o mesmo sinal, o que ocorre no intervalo (terceiro quadrante).
No terceiro exercício, partimos das coordenadas de C(1,3) para encontrar . Usando relações trigonométricas, calculamos e . Como , temos e .
Observação: Nas questões com coordenadas no círculo trigonométrico, lembra-te que o ponto corresponde a e que o ponto simétrico em relação à origem tem coordenadas .
As coordenadas do ponto F, que é simétrico de B em relação a O, são .
![1.
PREPARAR TESTE 1 11° ΑΝΟ
Na figura estão representados, num referencial o.n. Oxy,
uma circunferência e um trapézio [ABCD]. Sabe-se que:
-](/_next/image?url=https%3A%2F%2Fcontent-eu-central-1.knowunity.com%2FCONTENT%2F01965d7b-61f5-7790-a751-5cd2ac1f76f3_image_page_4.webp&w=2048&q=75)
Na demonstração da área do trapézio [BCDE], usamos as coordenadas dos pontos para chegar à fórmula , confirmando que esta função representa a área.
Para o problema do dodecaedro regular, calculamos que o ângulo interno do pentágono é . No triângulo [ABE], aplicamos propriedades dos triângulos isósceles para concluir que e .
Para calcular o perímetro, usamos a relação , o que nos dá . Multiplicando por 5 (número de lados), obtemos o perímetro aproximado de 4,9 metros.
Dica prática: Nos problemas de geometria, faz sempre um esboço da figura e identifica os triângulos e ângulos. Isso facilita muito a visualização e resolução!
No cálculo da expressão trigonométrica , usamos ângulos associados para simplificar para . Substituindo os valores conhecidos, chegamos a .
![1.
PREPARAR TESTE 1 11° ΑΝΟ
Na figura estão representados, num referencial o.n. Oxy,
uma circunferência e um trapézio [ABCD]. Sabe-se que:
-](/_next/image?url=https%3A%2F%2Fcontent-eu-central-1.knowunity.com%2FCONTENT%2F01965d7b-61f5-7790-a751-5cd2ac1f76f3_image_page_5.webp&w=2048&q=75)
No sexto exercício, partimos de , o que implica que . Como , sabemos que está no segundo quadrante.
Usando a identidade , calculamos . Como está no segundo quadrante, e .
Para calcular , aplicamos as relações e , obtendo .
Lembra-te: As relações de ângulos associados são fundamentais! Memoriza-as bem: , , etc.
No último problema, calculamos a área do pentágono [ABCDO] como a soma das áreas de triângulos, obtendo $3\sin\alpha\cos\alpha$.
Quando , temos e, consequentemente, pois $\alpha \in ]0,\frac{\pi}{2}[$. Substituindo estes valores, a área do pentágono é .
O nosso companheiro de aprendizagem com IA foi especificamente criado para as necessidades dos estudantes. Com base nos milhões de conteúdos que temos na plataforma, podemos fornecer respostas verdadeiramente significativas e relevantes para os estudantes. Mas não se trata apenas de respostas, o companheiro foca-se mais em guiar os estudantes através dos seus desafios diários de aprendizagem, com planos de estudo personalizados, quizzes ou conteúdos no chat e 100% de personalização baseada nas habilidades e desenvolvimentos do estudante.
Pode descarregar a aplicação na Google Play Store e na Apple App Store.
Sim, tem acesso gratuito ao conteúdo da aplicação e ao nosso companheiro de IA. Para desbloquear determinadas funcionalidades da aplicação, pode adquirir o Knowunity Pro.
App Store
Google Play
A App é muito fácil de usar e está nem organizada. Encontrei tudo o que estava à procura até agora e consegui aprender muito com as apresentações! Vou usar a app para um trabalho escolar! E claro que também me ajuda muito como inspiração.
João S
utilizador iOS
Esta app é realmente incrível. Há tantas anotações de estudo e ajuda [...]. A minha disciplina problemática é Francês, por exemplo, e a app tem muitas opções de ajuda. Graças a esta app, melhorei o meu Francês. Eu recomendo a qualquer pessoa.
Sara C.
utilizadora Android
Uau, estou realmente impressionado. Acabei de experimentar o app porque o vi anunciado muitas vezes e fiquei absolutamente surpreso. Este app é A AJUDA que você quer para a escola e, acima de tudo, oferece tantas coisas, como exercícios e folhas de fatos, que têm sido MUITO úteis para mim pessoalmente.
Ana
utilizadora iOS
Eu costumava ter dificuldade para completar os meus trabalhos a tempo até descobrir a Knowunity, que não só facilita o upload do meu próprio conteúdo, mas também oferece ótimos resumos que tornam o meu trabalho mais rápido e eficiente.
Tomás R
utilizador iOS
Sempre foi um desafio encontrar todas as informações importantes para os meus trabalhos – desde que comecei a usar a Knowunity, posso simplesmente fazer upload do meu conteúdo e aproveitar os resumos dos outros, o que me ajuda muito com a organização.
Luísa M
utilizadora Android
Eu frequentemente sentia que não tinha uma visão geral suficiente ao estudar, mas desde que comecei a usar o Knowunity, isso não acontece mais – faço upload do meu conteúdo e encontro sempre resumos úteis na plataforma, o que torna meu aprendizado muito mais fácil.
David F
utilizador iOS
O app é simplesmente incrível! Só preciso digitar o tema na barra de pesquisa e recebo a resposta super rápido. Não preciso assistir 10 vídeos no YouTube para entender algo, então economizo meu tempo. Super recomendo!
Marco O
utilizador Android
Na escola eu era péssimo em matemática, mas graças ao app, estou me saindo melhor agora. Sou muito grato por vocês terem criado o app.
André B
utilizador Android
Costumava ser muito difícil reunir todas as informações para minhas apresentações. Mas desde que comecei a usar o Knowunity, só preciso de carregar os meus apontamentos e encontrar resumos incríveis de outros - isso torna meu estudo muito mais eficiente!
Júlia S
utilizadora Android
Estava constantemente stressado com todo o material de estudo, mas desde que comecei a usar a Knowunity, carrego as minhas coisas e vejo os resumos dos outros - isto ajuda-me a gerir tudo melhor e é muito menos stressante.
Marco B
utilizador iOS
OS QUESTIONÁRIOS E CARTÕES DE ESTUDO SÃO TÃO ÚTEIS E ADORO A IA DA Knowunity. TAMBÉM É LITERALMENTE COMO O CHATGPT MAS MAIS INTELIGENTE!! AJUDOU-ME ATÉ COM OS MEUS PROBLEMAS DE RÍMEL!! ASSIM COMO COM AS MINHAS CADEIRAS A SÉRIO! OBVIO 😍😁😲🤑💗✨🎀😮
Sarah L
utilizadora Android
Eu costumava passar horas no Google à procura de materiais escolares, mas agora só carrego as minhas coisas na Knowunity e vejo os resumos dos outros - sinto-me muito mais confiante quando me preparo para testes.
Paulo T
utilizador iOS
A App é muito fácil de usar e está nem organizada. Encontrei tudo o que estava à procura até agora e consegui aprender muito com as apresentações! Vou usar a app para um trabalho escolar! E claro que também me ajuda muito como inspiração.
João S
utilizador iOS
Esta app é realmente incrível. Há tantas anotações de estudo e ajuda [...]. A minha disciplina problemática é Francês, por exemplo, e a app tem muitas opções de ajuda. Graças a esta app, melhorei o meu Francês. Eu recomendo a qualquer pessoa.
Sara C.
utilizadora Android
Uau, estou realmente impressionado. Acabei de experimentar o app porque o vi anunciado muitas vezes e fiquei absolutamente surpreso. Este app é A AJUDA que você quer para a escola e, acima de tudo, oferece tantas coisas, como exercícios e folhas de fatos, que têm sido MUITO úteis para mim pessoalmente.
Ana
utilizadora iOS
Eu costumava ter dificuldade para completar os meus trabalhos a tempo até descobrir a Knowunity, que não só facilita o upload do meu próprio conteúdo, mas também oferece ótimos resumos que tornam o meu trabalho mais rápido e eficiente.
Tomás R
utilizador iOS
Sempre foi um desafio encontrar todas as informações importantes para os meus trabalhos – desde que comecei a usar a Knowunity, posso simplesmente fazer upload do meu conteúdo e aproveitar os resumos dos outros, o que me ajuda muito com a organização.
Luísa M
utilizadora Android
Eu frequentemente sentia que não tinha uma visão geral suficiente ao estudar, mas desde que comecei a usar o Knowunity, isso não acontece mais – faço upload do meu conteúdo e encontro sempre resumos úteis na plataforma, o que torna meu aprendizado muito mais fácil.
David F
utilizador iOS
O app é simplesmente incrível! Só preciso digitar o tema na barra de pesquisa e recebo a resposta super rápido. Não preciso assistir 10 vídeos no YouTube para entender algo, então economizo meu tempo. Super recomendo!
Marco O
utilizador Android
Na escola eu era péssimo em matemática, mas graças ao app, estou me saindo melhor agora. Sou muito grato por vocês terem criado o app.
André B
utilizador Android
Costumava ser muito difícil reunir todas as informações para minhas apresentações. Mas desde que comecei a usar o Knowunity, só preciso de carregar os meus apontamentos e encontrar resumos incríveis de outros - isso torna meu estudo muito mais eficiente!
Júlia S
utilizadora Android
Estava constantemente stressado com todo o material de estudo, mas desde que comecei a usar a Knowunity, carrego as minhas coisas e vejo os resumos dos outros - isto ajuda-me a gerir tudo melhor e é muito menos stressante.
Marco B
utilizador iOS
OS QUESTIONÁRIOS E CARTÕES DE ESTUDO SÃO TÃO ÚTEIS E ADORO A IA DA Knowunity. TAMBÉM É LITERALMENTE COMO O CHATGPT MAS MAIS INTELIGENTE!! AJUDOU-ME ATÉ COM OS MEUS PROBLEMAS DE RÍMEL!! ASSIM COMO COM AS MINHAS CADEIRAS A SÉRIO! OBVIO 😍😁😲🤑💗✨🎀😮
Sarah L
utilizadora Android
Eu costumava passar horas no Google à procura de materiais escolares, mas agora só carrego as minhas coisas na Knowunity e vejo os resumos dos outros - sinto-me muito mais confiante quando me preparo para testes.
Paulo T
utilizador iOS
Rita Cruz
@ritacruz
Este resumo aborda problemas de trigonometria e geometria para alunos do 11° ano. Vamos explorar exercícios que envolvem o círculo trigonométrico, ângulos, áreas de figuras geométricas e relações trigonométricas, com soluções detalhadas para ajudar na tua preparação para os testes.
![1.
PREPARAR TESTE 1 11° ΑΝΟ
Na figura estão representados, num referencial o.n. Oxy,
uma circunferência e um trapézio [ABCD]. Sabe-se que:
-](/_next/image?url=https%3A%2F%2Fcontent-eu-central-1.knowunity.com%2FCONTENT%2F01965d7b-61f5-7790-a751-5cd2ac1f76f3_image_page_1.webp&w=2048&q=75)
Acesso a todos os documentos
Melhore suas notas
Junte-se a milhões de estudantes
No primeiro exercício, temos um trapézio [ABCD] inscrito numa circunferência de raio 1. Usando as coordenadas dadas e o ângulo de radianos, conseguimos calcular a área através da fórmula do trapézio, obtendo .
No segundo problema, precisamos encontrar o intervalo onde a expressão é sempre negativa. Simplificando a expressão para , e analisando os sinais nos diferentes quadrantes, concluímos que no intervalo a expressão é sempre negativa.
Dica importante: Quando trabalhares com expressões trigonométricas, simplifica-as primeiro usando as relações fundamentais. Isso torna muito mais fácil determinar o sinal da expressão!
O terceiro exercício envolve encontrar coordenadas num círculo trigonométrico e calcular a área de um trapézio usando funções trigonométricas. Partindo de , determinamos que e, depois de cálculos, concluímos que as coordenadas do ponto F são .
![1.
PREPARAR TESTE 1 11° ΑΝΟ
Na figura estão representados, num referencial o.n. Oxy,
uma circunferência e um trapézio [ABCD]. Sabe-se que:
-](/_next/image?url=https%3A%2F%2Fcontent-eu-central-1.knowunity.com%2FCONTENT%2F01965d7b-61f5-7790-a751-5cd2ac1f76f3_image_page_2.webp&w=2048&q=75)
Acesso a todos os documentos
Melhore suas notas
Junte-se a milhões de estudantes
No quarto problema, temos um dodecaedro regular com faces pentagonais e precisamos determinar ângulos e o perímetro. Como cada face é um pentágono regular, os ângulos do triângulo [ABE] são $36°36°108°$, e o perímetro de cada face é aproximadamente 4,9 metros.
O quinto exercício envolve calcular o valor exato de . Usando relações de ângulos associados, simplificamos para .
No sexto problema, dado que e , precisamos calcular . Determinamos que está no segundo quadrante, então e . Substituindo na expressão, obtemos .
Nota: Lembra-te que para ângulos do segundo quadrante, o seno é positivo e o cosseno é negativo!
No último problema, trabalhamos com um pentágono na circunferência trigonométrica, demonstrando que a área é $3\sin\alpha\cos\alpha\sin=\frac{1}{3}$.
![1.
PREPARAR TESTE 1 11° ΑΝΟ
Na figura estão representados, num referencial o.n. Oxy,
uma circunferência e um trapézio [ABCD]. Sabe-se que:
-](/_next/image?url=https%3A%2F%2Fcontent-eu-central-1.knowunity.com%2FCONTENT%2F01965d7b-61f5-7790-a751-5cd2ac1f76f3_image_page_3.webp&w=2048&q=75)
Acesso a todos os documentos
Melhore suas notas
Junte-se a milhões de estudantes
A solução do primeiro exercício mostra como calcular a área do trapézio usando a fórmula . Substituindo os valores , e , obtemos .
Para o segundo exercício, analisamos a expressão que simplifica para . Esta expressão é negativa quando e têm o mesmo sinal, o que ocorre no intervalo (terceiro quadrante).
No terceiro exercício, partimos das coordenadas de C(1,3) para encontrar . Usando relações trigonométricas, calculamos e . Como , temos e .
Observação: Nas questões com coordenadas no círculo trigonométrico, lembra-te que o ponto corresponde a e que o ponto simétrico em relação à origem tem coordenadas .
As coordenadas do ponto F, que é simétrico de B em relação a O, são .
![1.
PREPARAR TESTE 1 11° ΑΝΟ
Na figura estão representados, num referencial o.n. Oxy,
uma circunferência e um trapézio [ABCD]. Sabe-se que:
-](/_next/image?url=https%3A%2F%2Fcontent-eu-central-1.knowunity.com%2FCONTENT%2F01965d7b-61f5-7790-a751-5cd2ac1f76f3_image_page_4.webp&w=2048&q=75)
Acesso a todos os documentos
Melhore suas notas
Junte-se a milhões de estudantes
Na demonstração da área do trapézio [BCDE], usamos as coordenadas dos pontos para chegar à fórmula , confirmando que esta função representa a área.
Para o problema do dodecaedro regular, calculamos que o ângulo interno do pentágono é . No triângulo [ABE], aplicamos propriedades dos triângulos isósceles para concluir que e .
Para calcular o perímetro, usamos a relação , o que nos dá . Multiplicando por 5 (número de lados), obtemos o perímetro aproximado de 4,9 metros.
Dica prática: Nos problemas de geometria, faz sempre um esboço da figura e identifica os triângulos e ângulos. Isso facilita muito a visualização e resolução!
No cálculo da expressão trigonométrica , usamos ângulos associados para simplificar para . Substituindo os valores conhecidos, chegamos a .
![1.
PREPARAR TESTE 1 11° ΑΝΟ
Na figura estão representados, num referencial o.n. Oxy,
uma circunferência e um trapézio [ABCD]. Sabe-se que:
-](/_next/image?url=https%3A%2F%2Fcontent-eu-central-1.knowunity.com%2FCONTENT%2F01965d7b-61f5-7790-a751-5cd2ac1f76f3_image_page_5.webp&w=2048&q=75)
Acesso a todos os documentos
Melhore suas notas
Junte-se a milhões de estudantes
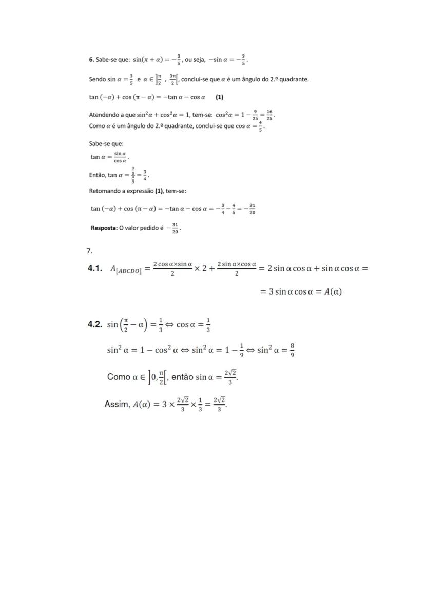
No sexto exercício, partimos de , o que implica que . Como , sabemos que está no segundo quadrante.
Usando a identidade , calculamos . Como está no segundo quadrante, e .
Para calcular , aplicamos as relações e , obtendo .
Lembra-te: As relações de ângulos associados são fundamentais! Memoriza-as bem: , , etc.
No último problema, calculamos a área do pentágono [ABCDO] como a soma das áreas de triângulos, obtendo $3\sin\alpha\cos\alpha$.
Quando , temos e, consequentemente, pois $\alpha \in ]0,\frac{\pi}{2}[$. Substituindo estes valores, a área do pentágono é .
O nosso companheiro de aprendizagem com IA foi especificamente criado para as necessidades dos estudantes. Com base nos milhões de conteúdos que temos na plataforma, podemos fornecer respostas verdadeiramente significativas e relevantes para os estudantes. Mas não se trata apenas de respostas, o companheiro foca-se mais em guiar os estudantes através dos seus desafios diários de aprendizagem, com planos de estudo personalizados, quizzes ou conteúdos no chat e 100% de personalização baseada nas habilidades e desenvolvimentos do estudante.
Pode descarregar a aplicação na Google Play Store e na Apple App Store.
Sim, tem acesso gratuito ao conteúdo da aplicação e ao nosso companheiro de IA. Para desbloquear determinadas funcionalidades da aplicação, pode adquirir o Knowunity Pro.
15
Ferramentas Inteligentes NOVO
Transforma estes apontamentos em: ✓ 50+ Questões de Prática ✓ Cartões de Estudo Interactivos ✓ Exame Simulado Completo ✓ Esquemas de Ensaio
App Store
Google Play
A App é muito fácil de usar e está nem organizada. Encontrei tudo o que estava à procura até agora e consegui aprender muito com as apresentações! Vou usar a app para um trabalho escolar! E claro que também me ajuda muito como inspiração.
João S
utilizador iOS
Esta app é realmente incrível. Há tantas anotações de estudo e ajuda [...]. A minha disciplina problemática é Francês, por exemplo, e a app tem muitas opções de ajuda. Graças a esta app, melhorei o meu Francês. Eu recomendo a qualquer pessoa.
Sara C.
utilizadora Android
Uau, estou realmente impressionado. Acabei de experimentar o app porque o vi anunciado muitas vezes e fiquei absolutamente surpreso. Este app é A AJUDA que você quer para a escola e, acima de tudo, oferece tantas coisas, como exercícios e folhas de fatos, que têm sido MUITO úteis para mim pessoalmente.
Ana
utilizadora iOS
Eu costumava ter dificuldade para completar os meus trabalhos a tempo até descobrir a Knowunity, que não só facilita o upload do meu próprio conteúdo, mas também oferece ótimos resumos que tornam o meu trabalho mais rápido e eficiente.
Tomás R
utilizador iOS
Sempre foi um desafio encontrar todas as informações importantes para os meus trabalhos – desde que comecei a usar a Knowunity, posso simplesmente fazer upload do meu conteúdo e aproveitar os resumos dos outros, o que me ajuda muito com a organização.
Luísa M
utilizadora Android
Eu frequentemente sentia que não tinha uma visão geral suficiente ao estudar, mas desde que comecei a usar o Knowunity, isso não acontece mais – faço upload do meu conteúdo e encontro sempre resumos úteis na plataforma, o que torna meu aprendizado muito mais fácil.
David F
utilizador iOS
O app é simplesmente incrível! Só preciso digitar o tema na barra de pesquisa e recebo a resposta super rápido. Não preciso assistir 10 vídeos no YouTube para entender algo, então economizo meu tempo. Super recomendo!
Marco O
utilizador Android
Na escola eu era péssimo em matemática, mas graças ao app, estou me saindo melhor agora. Sou muito grato por vocês terem criado o app.
André B
utilizador Android
Costumava ser muito difícil reunir todas as informações para minhas apresentações. Mas desde que comecei a usar o Knowunity, só preciso de carregar os meus apontamentos e encontrar resumos incríveis de outros - isso torna meu estudo muito mais eficiente!
Júlia S
utilizadora Android
Estava constantemente stressado com todo o material de estudo, mas desde que comecei a usar a Knowunity, carrego as minhas coisas e vejo os resumos dos outros - isto ajuda-me a gerir tudo melhor e é muito menos stressante.
Marco B
utilizador iOS
OS QUESTIONÁRIOS E CARTÕES DE ESTUDO SÃO TÃO ÚTEIS E ADORO A IA DA Knowunity. TAMBÉM É LITERALMENTE COMO O CHATGPT MAS MAIS INTELIGENTE!! AJUDOU-ME ATÉ COM OS MEUS PROBLEMAS DE RÍMEL!! ASSIM COMO COM AS MINHAS CADEIRAS A SÉRIO! OBVIO 😍😁😲🤑💗✨🎀😮
Sarah L
utilizadora Android
Eu costumava passar horas no Google à procura de materiais escolares, mas agora só carrego as minhas coisas na Knowunity e vejo os resumos dos outros - sinto-me muito mais confiante quando me preparo para testes.
Paulo T
utilizador iOS
A App é muito fácil de usar e está nem organizada. Encontrei tudo o que estava à procura até agora e consegui aprender muito com as apresentações! Vou usar a app para um trabalho escolar! E claro que também me ajuda muito como inspiração.
João S
utilizador iOS
Esta app é realmente incrível. Há tantas anotações de estudo e ajuda [...]. A minha disciplina problemática é Francês, por exemplo, e a app tem muitas opções de ajuda. Graças a esta app, melhorei o meu Francês. Eu recomendo a qualquer pessoa.
Sara C.
utilizadora Android
Uau, estou realmente impressionado. Acabei de experimentar o app porque o vi anunciado muitas vezes e fiquei absolutamente surpreso. Este app é A AJUDA que você quer para a escola e, acima de tudo, oferece tantas coisas, como exercícios e folhas de fatos, que têm sido MUITO úteis para mim pessoalmente.
Ana
utilizadora iOS
Eu costumava ter dificuldade para completar os meus trabalhos a tempo até descobrir a Knowunity, que não só facilita o upload do meu próprio conteúdo, mas também oferece ótimos resumos que tornam o meu trabalho mais rápido e eficiente.
Tomás R
utilizador iOS
Sempre foi um desafio encontrar todas as informações importantes para os meus trabalhos – desde que comecei a usar a Knowunity, posso simplesmente fazer upload do meu conteúdo e aproveitar os resumos dos outros, o que me ajuda muito com a organização.
Luísa M
utilizadora Android
Eu frequentemente sentia que não tinha uma visão geral suficiente ao estudar, mas desde que comecei a usar o Knowunity, isso não acontece mais – faço upload do meu conteúdo e encontro sempre resumos úteis na plataforma, o que torna meu aprendizado muito mais fácil.
David F
utilizador iOS
O app é simplesmente incrível! Só preciso digitar o tema na barra de pesquisa e recebo a resposta super rápido. Não preciso assistir 10 vídeos no YouTube para entender algo, então economizo meu tempo. Super recomendo!
Marco O
utilizador Android
Na escola eu era péssimo em matemática, mas graças ao app, estou me saindo melhor agora. Sou muito grato por vocês terem criado o app.
André B
utilizador Android
Costumava ser muito difícil reunir todas as informações para minhas apresentações. Mas desde que comecei a usar o Knowunity, só preciso de carregar os meus apontamentos e encontrar resumos incríveis de outros - isso torna meu estudo muito mais eficiente!
Júlia S
utilizadora Android
Estava constantemente stressado com todo o material de estudo, mas desde que comecei a usar a Knowunity, carrego as minhas coisas e vejo os resumos dos outros - isto ajuda-me a gerir tudo melhor e é muito menos stressante.
Marco B
utilizador iOS
OS QUESTIONÁRIOS E CARTÕES DE ESTUDO SÃO TÃO ÚTEIS E ADORO A IA DA Knowunity. TAMBÉM É LITERALMENTE COMO O CHATGPT MAS MAIS INTELIGENTE!! AJUDOU-ME ATÉ COM OS MEUS PROBLEMAS DE RÍMEL!! ASSIM COMO COM AS MINHAS CADEIRAS A SÉRIO! OBVIO 😍😁😲🤑💗✨🎀😮
Sarah L
utilizadora Android
Eu costumava passar horas no Google à procura de materiais escolares, mas agora só carrego as minhas coisas na Knowunity e vejo os resumos dos outros - sinto-me muito mais confiante quando me preparo para testes.
Paulo T
utilizador iOS